Την παρέμβαση των βουλευτών Κυκλάδων και Δωδεκανήσου ζήτησε ο αντιπεριφερειάρχης Περιφερειακής Πολιτικής και Πρωτογενούς Τομέα Φιλήμων Ζαννετίδης προκειμένου να αρθεί η άδικη πρόταση κατανομής των πόρων του Προγράμματος Αγροτικής Ανάπτυξης (ΠΑΑ 2014-2020), παρά το γεγονός ότι υπήρξαν δεσμεύσεις για το αντίθετο.
Σύμφωνα με τον κ. Ζαννετίδη, πρόσφατα γνωστοποιήθηκε η πρόταση του υπουργείου Αγροτικής Ανάπτυξης και Τροφίμων για την εκχώρηση αρμοδιοτήτων διαχείρισης και εφαρμογής Μέτρων/Δράσεων του Προγράμματος Αγροτικής Ανάπτυξης 2014-2020 και αφορά μόλις το 25{ebf2de1fdbfefdec110a02f4c927aa7ce558be84e5a322e6c41137cb467b3c6d} των πόρων του Προγράμματος, αντί του 30{ebf2de1fdbfefdec110a02f4c927aa7ce558be84e5a322e6c41137cb467b3c6d} που αναφέρεται στο ΣΕΣ και του 37{ebf2de1fdbfefdec110a02f4c927aa7ce558be84e5a322e6c41137cb467b3c6d} που ανακοινώθηκε από το Υπουργείο. Το ποσό της κατανομής που προτείνεται για την Περιφέρεια Ν. Αιγαίου ανέρχεται στα 23 εκ. ευρώ και αφορά μόλις το 2,89{ebf2de1fdbfefdec110a02f4c927aa7ce558be84e5a322e6c41137cb467b3c6d} των συνολικών πόρων που διατίθενται στις Περιφέρειες,
«Για μια ακόμη φορά δεν ελήφθησαν υπόψη ούτε οι δεσμεύσεις για αυξημένη κατανομή των πόρων για την Περιφέρεια από τα Τομεακά Προγράμματα, ούτε ο νησιώτικος χαρακτήρας της Περιφέρειας Νοτίου Αιγαίου, αν και αυτός αναγνωρίζεται σε επίσημα κείμενα, όπου φαίνεται ξεκάθαρα και η κατάταξη της Περιφέρειας Νοτίου Αιγαίου στην κατηγορία των περιοχών με ειδικά μειονεκτήματα λόγω του νησιώτικου χαρακτήρα της» αναφέρει ο κ. Ζαννετίδης στην επιστολή του, τονίζοντας ότι το Νότιο Αιγαίο «αδικήθηκε στον τρόπο υπολογισμού της κατανομής και δικαιούται ξεκάθαρα μεγαλύτερο ποσοστό κατανομής».
Ο αντιπεριφερειάρχης Πρωτογενή Τομέα κοινοποιεί στους βουλευτές και επιστολή, την οποία ο περιφερειάρχης κ. Χατζημάρκος έχει απευθύνει ήδη στο ΥΠΑΑΤ και ζητεί την συμβολή τους, προκειμένου να υιοθετηθούν οι προτάσεις της Περιφέρειας Νοτίου Αιγαίου για την κατανομή των πόρων του ΠΑΑ 2014-2020.
Η επιστολή του κ. Ζαννετίδη στους βουλευτές της Περιφέρειας




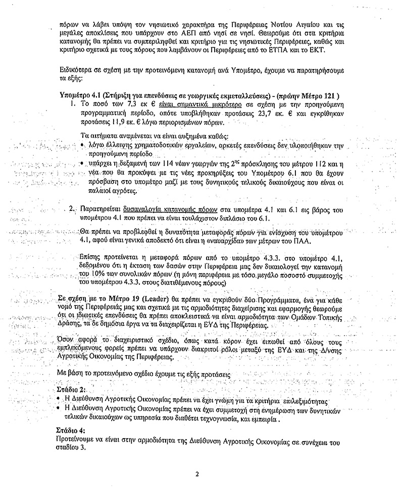
Το έγγραφο του κ. Χατζημάρκου προς το Υπουργείο Αγροτικής Ανάπτυξης και Τροφίμων



Ειδήσεις: Νότιο Αιγαίο

























